关于2020年九大员岗位证书换证无法联系人员的通告
通 告
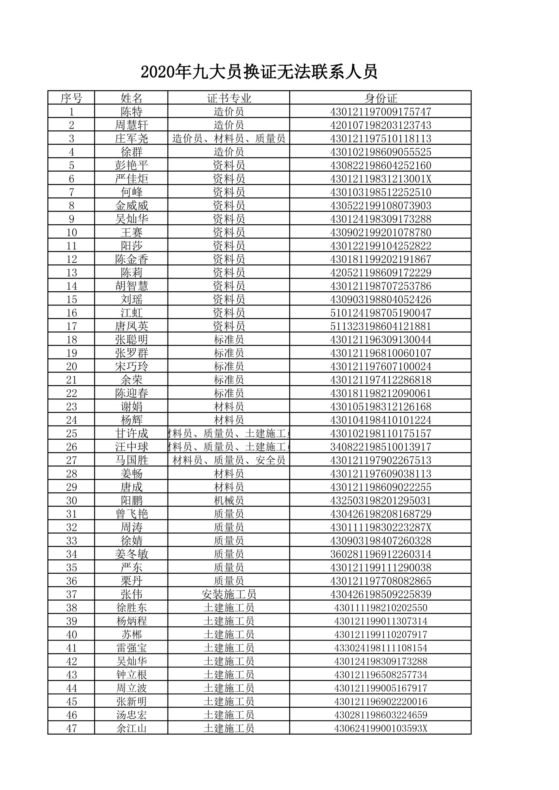
2020年建设工程九大员岗位证书换证即将期满,以下人员因无法联系到本人提供相关资料,且未进行继续教育,名下相关证件将于2020年12月31日作废。请相关人等(名单附下)于2020年12月15日之前,速联系本公司行政人力资源部进行办理,联系电话:0731——85835555,逾期后果自负。
特此通告!
香港六台宝宝典资料大全
行政人力资源部
2020.12.08
通 告
2020年建设工程九大员岗位证书换证即将期满,以下人员因无法联系到本人提供相关资料,且未进行继续教育,名下相关证件将于2020年12月31日作废。请相关人等(名单附下)于2020年12月15日之前,速联系本公司行政人力资源部进行办理,联系电话:0731——85835555,逾期后果自负。
特此通告!
香港六台宝宝典资料大全
行政人力资源部
2020.12.08